☂☂☂ カウンセリングのこころ ☂☂☂
あなたは、困っている人に、どう答えられますか?
☂☂ 例1 ☂☂
ある歯科医院に患者さんが、「きのうの夜から、歯がすごく痛くて不安で、眠れなかったんです。実は、1週間前にも少し痛かったのですが、その時は、我慢できたのですが。けさは、もう痛くて、心配で‥‥‥。」 と、言って来られました。
あなたならどう答えますか? 以下の中から、選んでください。
a) そうですか、その時に来て下さっていれば、こんなには痛くならなかったと思います。今度は、もっと早めに来てくださいね。
b) すごく痛くて、不安で、眠れなかったのですね。今も、とても痛いのですね。
c) そうですか、さっそく診てみましょう。
☂☂ 例2 ☂☂
入院中の患者さんが、あなたに、「病気のことや周りが気になって、眠れなくて、本当に困っています。先生、どうしたらいいでしょうか?」 と、訴えてこられました。あなたは、どう答えられますか? 以下の中から、選んでみて下さい。
a) もっと困っておられる患者さんでも頑張っておられますよ。そんなことは言わないで、よく眠るようにしましょうね。
b) そうなんですか、私も入院していたことがありますので、色んなことが気になって、眠れないのは、私にもよくわかりますよ。
c) そうなんですか。眠れないと困りますよね。つらいですよね。
☂☂ 例1の解答 ☂☂
a), b), c)のどれも患者さんのためを思った返答ですが、それでも、いいのはb)です。もし、あなたが患者さんだったとしたら、a)のように言われたら、この先生は、「私のことー痛みや、不安や心配でいっぱいの私―を、少しもわかってくれない!」、「少しも気遣ってくれない!」などと、思うのではないでしょうか。中には、「確かに先生は正しいのかもしれないけれど、今はそれどころじゃないのに!」と思う人もいるでしょう。
それに対して、b)のように言われたら、「先生、そうなんです」と、ちょっとほっとするのではないでしょうか。
c)では、「痛くて我慢できないのに!」、とか、「先生は、私のこと、何だと思っているの!」と、言いたくなりませんか。
☂ 考察 「受容」がかなめ ☂
A. 受 容
b)と、a)、c)との違いをカウンセリングでは、「受容」という用語で説明します。b)は、受容的ですが、a)とc)は、非受容的です。

「受容」とは、善悪や、正しい、間違っているなどの判断や評価は棚上げにして、「その人をあるがままに承認すること」です。つまり、“その人のそのときのこころ”をそのままに承認することです。具体的には、b)の返答のように、その人の「痛みや心配や不安」をあるがままに認めることです。(申し添えておきますと、判断や評価を棚上げにするのは、「カウンセリングは、人を裁くことではない」からです。)
このa)の歯科医は、「私は、決して患者さんのこころをおろそかにしているのではないが、正しいこと、もっと大事なことを言わなければ‥‥‥」と考えて、a)のように言っておられるのでしょう。ところが、この患者さんのこころは、「痛み、不安、心配」でいっぱいです(下の図を参照)。言わば、「こころ」=「痛み、不安、心配」です。それなのに、この返答では、それらについて少しも触れていません。そのために、患者さんは自分のこころをまったく無視されたと感じて、「先生は、私のことを少しも気遣ってくれない」、「私のことをわかろうともしてくれない」などと、思うことでしょう。(下の図)
反対に、b)の歯科医の場合は、理屈やアドバイスは抑えて、患者さんの感情、気持ち(=「こころ」)を思いやって、b)のように返答しています。それを聞いた患者さんは、「先生は、自分のこころをわかってくれた」、「自分のことを大切にしてくれている(尊重)」と思って、少しうれしくなることでしょう。

また、(本質的なことではありませんが)、現実問題としても、a)はよくありません。患者さんは、叱られるかもしれないと思いながらも、「実は、1週間前にも少し痛かったんですが、‥‥‥‥」 と、正直に打ち明けています。しかし、それを「その時に来て下さっていれば、‥‥‥‥」などと批判しますと、本当のことを言ってくれなくなるかもしれません。
c)も、間違ったことを言っているわけではないですが、患者さんの感情や気持ちに配慮するどころか、まったく無視しています。やはり、“感情や気持ち(こころ)を持つ”人間への対応としては不適切でしょう。
B. 感情や気持ちが無視されると(受容されないと)
(この例1のa)のように)、自分の感情や気持ちが無視されると、なぜ、まるで自分そのものが無視されたかのように感じられるのかについては、まだよくわかっていません。それでも、ここで少し深掘りしてみましょう。
ある人が、心配なことがあって困惑してしまって、それを誰か(友人、家族、先生など)に相談したとしましょう。ところが、彼の「心配」には少しも触れないで、無視されてしまった(少しも「受容」してもらえなかった)場合、その人がどのように感じるのか、その「心配」の程度にしたがって見てみましょう(次の図の@、A、B)。
まず、ちょっと心配な場合を想像してみてください(@)。そのときに、「心配しなくてもいいですよ」と言われたら、ぜんぜん余裕がありますので、「そうかそれほど心配することはないのだ」と受け入れる人もいるでしょう。また、その「心配」を無視されたとしても、それほど気にはならないでしょう。なぜなら、自分のこころのごく一部を無視されただけですから。
かなり心配な場合(A)でも、「心配しなくてもいいですよ」と言われたら、「なるほど、それほど心配しなくてもいいのだ」などと、そのアドバイスを受け入れる方もいるでしょう。反対に、「何を言うのだ。こんなに心配しているのに!」と、アクティブに反論される方もいるでしょう。あるいは、視点を変えて、自分なりにその状況や経緯について再検討を試みる方もいるでしょう。また、無視をされても、こころの一部を無視されただけですから、それほど深刻にはならないでしょう。いずれにしても、Aのような場合でも、「こころ」にまだ余裕がありますので、ほとんどの方がその人なりに対処可能でしょう。

問題は、Bのような大変な心配の場合(例えば、心配で心配で居ても立っても居られないような場合)です。@、Aと比べていただくと、@、Aでは、まだ余裕がありますので、上で述べたように受け入れたり、反論したり、あるいは、考え直してみるなどの対処が可能でした。しかし、“こころ”に少しの余裕もないこのBの場合には、どの対処方法も不可能です。そのようなときに、相談した相手から、下図のように、(相手は励ますつもりで、勇気づけようとしているのでしょうが)、彼の「心配」をほとんど無視した、彼のことを少しも気遣ってくれない返答をされたとしたら、その人はどのように感じるのでしょうか。
1) 「こころ」 = 「心配」→→ こころの無視
この人の場合、心配で心配で、居ても立っても居られないような状態にいるわけですから、こころの全部が、「心配」という感情・気持ちで占有されているようなものです。言わば、「こころ」=「心配」です。それなのに、その「心配」を無視した返答(下の図)をされると、彼は、「自分のこころ」を無視(あるいは否定)されたように感じるはずです。そのため、「自分そのもの」が、拒否されたかのように感じるのではないでしょうか。彼は、きっと、「自分はこれだけ心配しているのに、わかろうともしてくれない」、「少しも、助けてもくれない。だめだ。」などと、思うことでしょう。言い換えると、彼は、いたたまれないような絶望感、(例えば、相談したのがバカだったというような)孤独感を覚えるのではないでしょうか。

2) 「助け」の期待 →→ 失望、つらい思い
その「心配」が長い間(例えば、数日)続いたとしましょう。そうしたら、その困惑した状態を少しでもマシにしたい(例えば、ちょっとでも軽くしたい、少しでも忘れたいなど)と願っていることでしょう。そこで、(自分では解決法がないので)、誰かになんとか助けて欲しいと思うことでしょう。さらに、(自身でも気がついていないのかもしれませんが)、「何らかの助けが得られるのでは!」との期待も持っているはずです*。
* 例1の場合、患者さんは歯科医院に行っているわけですから、目的は歯を治療してもらうでしょう。しかしやはり、精神的な面でも助けて欲しいと思っておられるはずです。そもそも、友達に訴えたり、カウンセラーを訪ねたりするのは、助けて欲しい、せめていたわって欲しいと願ってのことでしょう。そして、そうするのは、助けが得られるかもしれないと期待しているからこそでしょう。なぜなら、少しもそのような期待が持てないのであれば、訴えたり、相談したりしないはずですから。
それにもかかわらず、自分のこころを少しも顧みていない返答では、助けて欲しいという期待も裏切られたことになります。もう少し詳しく述べますと、わかってもらえなかったこと(上述の1))とは別に、助けてくれるかもという期待も裏切られたわけでから、その人は失望して、かなりつらく思うことでしょう。そこで、以上の1)に重ねて2)ですから、この人はこころを無視された上に、さらに、つらい思いもしたことでしょう**。
** 期待していなかったことが実現しなかったとしても、それはさほどつらいことではありません。しかし、期待していたことがかなえられないのは、非常につらいことです。例えば、お正月におじさんから5,000円のお年玉をもらったとしましょう。Aおじさんは毎年10,000円のお年玉をくれていたのですが、今年はなぜか5,000円でした。これにはがっかりです。「なんでやね!」と、腹がたったことでしょう。Bおじさんは毎年5,000のお年玉をくれていたのですが、今年も5,000円をくれました。「ありがとう!」とは思いますが、飛び上がるほどうれしいという気持ちにはなれないでしょう。Cおじさんは毎年2,000のお年玉しかくれなかったのですが、なぜか今年は5,000円もくれました。これは格別うれしいですね。「おじさん、好き!」と、思うかもしれません。どのおじさんも5,000円のお年玉をくれたのですが、それをもらった人の期待の違いによってこれだけの差が生じます。その中でも、期待を裏切られた場合(Aおじさん)には、失望を感じて、つらいものがあります。(なお、現在の認知論的な学習理論にとって、「期待とその結果との関係」は、中心的なテーマのひとつです。)
3) 「期待の無視」 →→ みじめな気分
さらに、(上の図の返答のように)、自分の期待に見合うような文言がまったく無かった(例えば、同情するような言葉とか、いたわるようななどの言葉がまったく含まれていなかった)場合***には、自分のことをすっかり無視されてしまったという実に情けない、みじめな気分になることでしょう****。
*** 例1の返答のa)にもc)にもそのような文言はまったく含まれていません。
**** 先ほどのおじさんのお年玉の件で、そのおじさんが今年の正月も来られて、おせちも一緒に食べたのですが、今年はお年玉の「お」の字も言わないで帰られた、としましょう。そうなると、何かしら納得がいかなくて、後々までくよくよと、「何で今年はくれなかったのだろうか」、「おじさんは僕のことを忘れてしまったのだろうか?」などと、釈然としない気持ちが残ることでしょう。
これら1), 2), 3)が合わさると、(自分が無視されたように感じた上に、つらい思いもして、情けない気分にもなった)その人の心情としては、誰もわかってくれないという絶望感、どうしようもないというような無力感などを強く覚えるのではないでしょうか。つまり、自分が、(大げさに言うと自分の住んでいる世界から)、疎外されたように感じることでしょう。以上のように、本当に困っている人にとって、その気持ちや感情を受け入れてもらえないこと、つまり、こころを「受容」してもらえないことは、一般に考えられているよりもはるかに深刻ようです。
C. 受容の効用
反対に、(先にも述べましたように)、本当に困っているときに、 “そのときの”自分の感情や気持ちを認めてもらえると、それは、直感的に、自分をわかってくれたと確信的に受けとられます。すると、その人は、(長時間にわたって一人で非常に困惑していたのが、自分のそのこころを他の人がわかってくれたのですから、安心する(ほっとした気持ちを得る)ことができます。
例1に戻って、「歯が痛くて不安で、心配でどうしようもない」というときに、「すごく痛くて、不安で、眠れなかったのですね。今も、とても痛いのですね」(例1のb))のように、そういう自分を認めてもらう(受容される)と、きっと少しうれしかったことでしょう。その安心は短時間かもしれませんが、長い間「不安や心配」のただ中にあって、少しでも安心したいと望んでいた人にとっては、それまでずっと続いていた状態から少し抜け出ることができたわけですから、格別にありがたかったはずです。「受容」は、困惑のただ中にあった人を、その状態から抜け出させてくれる、小さな“救いの手”ではないでしょうか。このように、「受容」は、精神的に本当に困っている人にとって、ありがたいことです。
ここで、話を前に進めて、受容された人にはどのようないいことが起こるのか、「受容」の効用について、考えてみましょう(下の図)。
1) 自分のこころを「眺める」ことができる
上のように心配や不安にただただ圧倒されていた状態から脱して、少しでも安心できたわけですから、その余裕から、自分で(自分のこころの中にある)心配や不安の感情・気持ちを少し眺めてみることができるようになるかもしれません。もしそれができたとすれば、それはとりもなおさず、自分という主体をわずかでも取り戻すことができたということです。

2) もっと認めて欲しい
あなたなら、上のように、受容してもらえたことで、少し安心できて良かったとすれば、どうしてみたい、どのようにしてみたいと思われますか。
おそらく、「もっと自分のことをわかって欲しい。」、「もっと受容をして欲しい。」と思うのではないでしょうか。そのためには、自分のことをもう一度見つめ直して、例えば、「けさ、ごはんを食べようとしたのですが、とても痛くて食べられなかったのです。」と、先生に訴え、「これだけ痛ければ、無理ないですね。大変だったですね。」と、わかってもらえる、などのようにしたいと、思われませんか。もしそうなれば、自分で自分のことをもっと見つめ直すことができたわけであり、それによってまた受容されて、またちょっと安心できたとなれば、「自身のことをもっと見つめてみよう」、という気になるのではないでしょうか。
この経緯中のポイントは、「自分で自分のことを見つめることができるようになる」というこころの働き(自分という主体による自己モニタリング)です。カウンセリングの目標は、(この表のように)、「自分を主体的に正しく見て、自分で考えて判断して、その方向に歩み出す」ということです。ですから、まだまだほんの入り口にしか過ぎませんが、その方向に歩み出せたわけですから、カウンセリングの目標に沿ったまことに好ましい変化です。

3) 自分で自分のことを承認してみたら
被相談者(クライエント)が、自分のこころ(感情・気持ち)を真摯に見つめてくれて、それを理解して、自分に言ってくれたおかげで、安心できたわけですから、もう一歩進んで、自身でもそのようにしてみようと考えるのではないでしょうか。つまり、もっと自身のことを見つめて、もっと整理して自身の正しい姿を見いだそうという意志(意識)を持ってくれるようになれば、と期待されます。
一度受容してもらえたからといって、一気に1)〜3)のようになっていくとは考えられませんが、良い方向に向かうきっかけとはなるのではないでしょうか。つまり、ほんの入り口にしか過ぎませんが、カウンセリングの目標からすると、この1)〜3)はまことに好ましい変化です。
付け加えておきますと、「受容」によって、こういう方向性が始まりますと、カウンセリングでは、(まどろっこしいですが、直接その方向に向けた指導や教示やアドバイスではなくて*****)、(後述する)「共感」や「傾聴」という方法で、当人がそのような方向に歩み始めてくれるように、働きかけて行きます。ですから、「受容」こそ、カウンセリングの出発点、かなめです。
***** カウンセリングで、「直接その方向に向けた指導や教示やアドバイス」をしないのは、「人間の主体性」が最重要と考えるからです。うがった見方をしますと、指導やアドバイスは、(正しい方向ではありますが、ある意味、本人の意思を無視して、ほぼ強制的に)、人を変えてしまおうというやり方です。なぜなら、そのようにしないと、「おまえは正しくない」、「常識外れだ」、「なぜ、私の言うことを聞けないのか!」などと、罰となるフレーズを暗に従えています。
また、カウンセリングは1回なんかで終わることは無くて、(言い換えると、上の1), 2), 3)で述べたような目標に沿った直線的でスムーズな進行は現実的ではなくて)、(クライエントに話してもらって、カウンセラーがそれを聴くという)数十回以上のカウンセリングが必要となることが多いのですが、その点について、河合(河合隼雄、1998, カウンセリング入門)は、「ひたすら聞き続ける」と、表現しておられます。それをここで述べた観点から申しますと、カウンセリングは繰り返し、繰り返しクライエントに話してもらって、クライエントの主体の回復あるいは確立を成し遂げようとする努力であると、言えるでしょう(下の表)。(河合によると、クライエントの問題解決は、カウンセリングの積み重ねではなくて、本人の自覚もないままあるときに起こってくるそうです⦅おそらくクライエントのこころの中で、カウンセリング中ではない時間に⦆。その問題解決を適切に捉えることができて、明確に記述できればいいのですが、どんなものか明らかにすることができないそうです。一番確かなことは、そのクライエントがカウンセリングを必要としなくなって、カウンセリングに来なくなってしまうという形で終結することが多いそうです。そのために、カウンセラーが感謝の言葉をもらうことはまれで、カウンセリングは「もの好き」がする行為であると述べておられます。)

D. 伝えること、伝わることが必要(下の表)
一般に、非常に困っている人の気持ちや感情を理解したとしても、そのことを、その人に知ってもらわなければ、意味がありません。それ故、それを伝えることが必須です。つまり、「受容」には、その人の感情・気持ちを理解して、例1b)の返答のように、理解できた“その心配や不安”を、当人に伝えることが必要です。なお、(後で述べる)「傾聴」の場合も同様です。

蛇足ながら、私が歯科衛生士学校で講義をしていたときには、「もしも、あなたの勤めている歯科医院の先生が、a)のように答えておられるのであれば、機会を見て、早めにその医院をやめなさい。そのうち、その医院には、患者さんが来なくなることでしょう。反対に、もしも、b)のように答えておられるのであれば、その先生は、あなたが困っているときにも、同様な対応をしてくれるはずです。」 と、つけ加えておりました。
☂☂ 例2の解答 ☂☂
例2の返答の中で、a)は、指導的/教訓的です(これはアドバイスでもあります)。すでに述べたように、指導的/教訓的な返答には、相手のこころに対する気遣い、「受容」 がまったくありません(非受容的)。そのため、この返答も例1a)と同じ理由で、よくありません。b)とc)はともに 患者さんのこころに焦点を当てた返答ですが、b)は同情的、c)は共感的と言われます。このうちで、経験を積んだカウンセラーは、c)を選ぶと言われています。

☂ 考察 「共感」が命綱 ☂
b) 「同情」と c) 「共感」は似ていますが、違うところもあります。b)のほうが親身で、c)のほうはなんだか少し冷たいような気がします。しかし、相手を自立した人格として尊重するというカウンセリングの基本(「受容」を重視するのもそのためです)からは、「共感」のほうがすぐれています。さて、もう少し見て行きましょう。
A. 「同情」による思い込み
「同情」は、自分の体験に基づいて、相手の気持ちを推し量るものです。あえて言うと、相手を自分の土俵につれて来て、理解しようとするものです。そのため、的外れとなることがあります。例えば、「先生なんかに、私の気持ちがわかるわけがない!」、「先生と一緒にしないで欲しい!」 などと、嫌われてしまう場合があります。そうなりますと、何を言っても聞いてもらえません。
その点、「共感」は、相手のものであるとの前提に立って(相手の人格を十分に認めた上で)、患者さんのこころを理解しようとします。言わば、自分の土俵と相手の土俵とをきちんと区別した上で、相手の土俵にまでうかがって、その人の気持ちを理解しようとするものです。そのため、的外れになることが少ないです。

B. 「同情」は、指導的、教訓的なアドバイスとなりやすい(これが「同情」の一番の欠点かも)
「同情」と「共感」には、目に見えないもう一つの違いがあります。「共感」は、「あなたの気持ち、感情を理解していますよ」という、率直なメッセージです。しかし、「同情」は、すでに述べましたように、自分の経験や体験に基づいて、相手の気持ちやこころを理解しようとするものです。そのため、自分の体験を思い出すわけですから、その時の状況や、その時自分がとったこころの持ちようや対処法なども、いっしょに思い出すことになります。そうすると、「私は○○のようにしました。」、「私も同じようなつらい目にあいましたが、あなたも、私と同じようにすればきっと乗り越えられるはずです。」といったアドバイスへと傾きがちです。このc)に当てはめてみますと、「自分は、その時もっと頑張って努力して、なんとか眠るようにしました」とか、「自分は、できるだけ平静になるように心がけて、周りを気にしないようにしました」 などいうアドバイスをしたくなるのではないでしょうか。このように、「同情」は、指導的、教訓的なアドバイスにつながりやすいようです。これは、「同情」がその性質上必然的に持っている欠点です。

C. 「同情」 vs 「共感」
以上に「同情」と「共感」について見てきましたが、それでも、「同情」がいいのか、「共感」がいいのかは、微妙で難しい問題です。@最初にも述べましたように、「共感」では、患者さんはカウンセラーのことを、少し冷たいと感じるかもしれません。Aまた、カウンセラーとクライエントの社会的な関係性でも変わってきます。クライエントが小中学生の場合、「同情」的な言葉のほうがいいかもしれません。「同情」のほうが、大人でもあり(彼らから見て先生でもある)カウンセラーが、親身になって自分のことを考えてくれていると、感じてくれるかもしれません。反対に、「同情」では、中高年のクライエントの場合には、「経験もさほどない若造がわかったようなことを言いよって!」、とか、「こんな青二才に、私のことがわかるはずがない!」といった反感を買ってしまって、しぶしぶのカウンセリングとなることがあります。また、B相手がパートナーや友人の場合には、「同情」がいいのか、「共感」がいいのかは、難しい問題です。親身になっていることをわかってもらうには、「同情」のほうがいいかもしれません。しかし、その事態をできるだけ冷静に受けとって欲しいと願うのであれば、「共感」のほうがいいはずです。
☂☂ 例3 ☂☂
お医者さんや看護師さんは、患者さんにどのように答えておられるのでしょうか?
「私はもう、だめではないでしょうか」 と、<まだガンを告知されていない>末期ガンの患者さんが、訴えてこられました。あなたは、どう答えられますか? 以下の中から、一つ選んで下さい。
a) そんなことを言わないで、もう少し頑張りましょう。
b) そんなこと、心配しないでいいですよ。
c) どうして、そんな気持ちになるのですか?
d) これだけ痛みがあると、そんな気持ちにもなりますよね。
e) もうだめなんだなと、そんな気がするのですね。
☂☂ 例4 ☂☂
ガンをすでに告知され、死の間近いことを十分に覚悟しておられる患者さんが、突然、「私、きっと治りますよね」と、言ってこられました。あなたは、どのように答えられますか?
あなたの答え: .
☂☂ 例3の解答 ☂☂
例3の5つの答えは、いずれも患者さんのことを思った親切な返答ですが、例1と2の考察からおわかりのように、共感的であるe)が最も良い返答です。また、あとで述べますように、精神科医や看護師さんは、そう答える人が多いようです。
☂ 考察 共感も受容である ☂
A. 返答のタイプ

以下は、植村研一先生(浜松医科大学名誉教授 脳神経外科)によるコメントです。
a)〜e)の答えは、この表にありますように、5種類のタイプです。a)は、「そうして欲しい、そうあって欲しい」という願いを述べた教訓的・支援的な応答(アドバイス)です。b)は、「患者さんの言っていることを,自分なりに解釈した」解釈的な応答です。c)は患者さんの状態をもっと適確に捉えたいという探索的な応答です。そしてd)は、患者さんと同じ気持ちを持っていることを表明して、患者さんの気を楽にしてあげたいと願った同情的な応答と言えるでしょう。
これらはいずれも患者さんのためになることを言ってあげたいと、願った応答ですが、あらためて考えてみますと、いずれも、患者さんの気持ちや考えをいいほうに変えてあげたいと願っています。ですから、見方によっては、相手の気持ちや考えを操作しようとするメッセージでもあります。つまり、これらは、自分の見方、考え方を押しつけています。そう考えますと、これらは根っこの所で、相手へのリスペクト(尊敬・敬意)を欠いているように思われます。そのため、相手の受け取りようによっては、これらはすべて、相手の心を傷つけてしまう可能性があるのでは、と危惧されます。
それらに対して、e)だけは、患者さんのこころ、気持ちを理解していることを伝える共感的/理解的な答えです。これでは、自分の思いや考えを述べたり、押しつけたりしていません。そのため、e)は患者さんも受け入れやすいのではないでしょうか。(「受容」の観点から言うと、これだけが患者さんを受容している応答です。)
B. 医師や看護師の応答
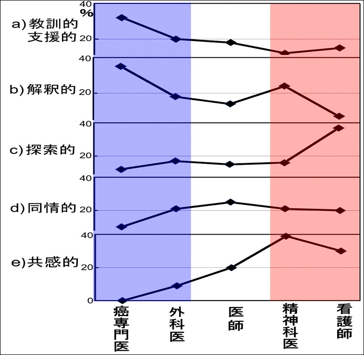
それでは、実際のお医者さんや看護師さんは,どのように答えておられるのでしょうか? 柏木哲夫先生が、医師や看護師にこの問題を出して調査された結果を紹介します。(柏木哲夫:淀川キリスト教病院理事長、元ホスピス長、大阪大学人間科学部名誉教授。なお、淀川キリスト教病院は、浜松市の聖隷三方原病院に続いて、日本で2番目にホスピスを開設された病院です。)
次のグラフにありますように、それらのグループ(癌専門医、外科医、《それら以外の》医師、精神科医、看護師)の間で、答えがかなり異なっています。a)の教訓的・支援的な応答(アドバイス)は、癌専門医が最も多く、次第に少なくなって、精神科医と看護師で最も少なくなっています。(その病気を治すことを使命とされておられる医師ほど、教訓的な答えとなっているのは、なるほどと納得させられます。)
b)の解釈的な応答は、癌専門医で最も多くて、精神科医が少し多くて、看護師で一番少なくなっています。(癌専門医は治療への強い信念からこのように答えられるのでしょう。ただし、この返答は、次の例4で述べる「純粋性」の観点からは、問題があります。この返答はかなりの確率で、うそになります。もしそうなれば患者さんからの信頼を失い、取り返しがつきません。それに、当該医師のその返答の様子は、他の患者さんや看護師さんたちも見ています。)
c)の探索的な応答は、看護師さんがもっとも多くなっている点を除いて、グループ間であまり差がないようです。(看護師さんの心情として、なんとか患者さんの役に立ちたいと思っておられるので、こういう応答が多くなるのでしょう。探索的な応答は、「私はあなたに真摯に関心を持っています」とのメッセージであり、良い面があります。しかし、その患者さんとの距離感の問題とは思いますが、患者さんの中には、「何度も言っているのに、なぜまだわかってくれていないの!」などと思われる患者さんがいるかもしれません。) そしてd)の同情的な応答は、癌専門医だけが少ないことを除いて、グループ間に大きな差がありません。(癌専門医は、癌という病気をなんとしても治療しようという強い信念をもっておられるので、その分、同情的な気持ちにはあまりならないのでしょう。)
これらに対して、e)の共感的/理解的な応答は、グループ間の差でもっとも大きく、特筆すべきことに、a)教訓的・支援的な応答とは、まったく逆のパターンになっています。癌専門医では0人で、外科医、(それら以外の)医師と少し増えて、精神科医でもっとも多くなっており、看護師さんもかなり多くなっています。精神科医や看護師の方々は、(困っている)人のこころを受容し、共感することの大切さをわかっておられるのでしょう。
この調査結果について、柏木先生は、「心の中の治療をやっている人(精神科医)とやってない人(それ以外の医師)、つまりプロとアマチュアの差が歴然とでた結果である」と、コメントされておられます。(看護師さんも、e)の共感的/理解的な応答が多くなっていますが、彼女(彼)らも患者さんのこころを一番大切に思っておられるのでしょう)。
以上の結論として、やはり、困っている人には、(そのこころを受容することでもある)共感的な応答が、最良です。

☂☂ 例4の解答 ☂☂
上述の柏木先生は、この例に、「治ると本当にいいですね」 と答えておられます。そうすると患者さんは「そうなの、私、治りたいの」と言い、柏木先生とその患者さんの間に、「そうだね。治りたいよね。助かりたいよね」、「そうなの、でも先生、だめなんですよね」、「残念ですね」 といった会話が続いたそうです。(柏木先生は、ターミナルケアの専門家であり、たくさんの患者さんの死を看取っておられます。)
その先生が、死に直面しているこの患者さんに、何をおいても優先されているのが、「純粋性(うそをつかないこと)」です。私などには、とてもできないと思われますが、ただただ、“純粋性(うそをつかないこと)”の重要性を教えられるのみです。
☂ 考察 純粋性 ☂
A. 純粋性(うそをつかないこと)
この患者さんに対して、どなたも、なんとかこの患者さんの役に立ちたい、できるだけ親切にと、返答されると思うのですが、残念ながら、(おそらくは貴君も、私自身も含めて)非常に難しいようです。特に、「純粋性―うそをつかないー」という観点からは、柏木先生の応答以外にはないのかもしれません。検討してみましょう。
なんとか勇気づけたくて、ついついこのように言ってみたくなるのですが。これは2重の意味でよくありません。一つ(「そう言わないで」)は、「受容」どころか、患者さんの気持ち・こころを正面きって否定しています。二つ目(「もう少し頑張りましょう」)は、おそらくは、この患者さんは、長い闘病生活の中で痛みに耐えながら、十分頑張ってこられたと推察されます。それを、ことここに及んで、まだ「頑張りましょう」というのは、まことに酷な話でしょう。
また、本当に困っている人を下手に励ましてはならないというのは、精神的な問題では、基本中の基本です。特に、うつ病の患者さんを、絶対に励ましてはいけません。それは、あたかも断崖の前に立っている人を後ろから押すようなものです。(念のために申し添えておきますと、普通の時、元気なときには励ますのは、当然で妥当なことです。)
「そう思っておられるようですが、きっと治りますよ」
(例3のb)で述べましたように)、すでに告知されて、死の間近いことを十分承知しておられる患者さんにうそをつくのは間違いです(純粋性に反します)。「治りますよ」と言ってあげたいのは山々ですが、それには始めから無理があります。このような返答は、患者さんからの信頼を失って、むしろその方をさらなる孤立へと向かわせることになるかもしれません。
「死ぬまでに、何かやっておきたいことがありますか」
親切心から出てくる言葉だと思いますが、わずかしか余命のないことがわかっている人に、こんなことを言うのは、非常な無理があります。それどころか、患者さんに余命わずかであることを、再認識させてしまうことになるかもしれません。
これらの応答は見方によっては、以上のようにいずれも非常に良くない面を持っています。そこで、「うそをつかない」、「できるなら少しでも患者の心を支えてあげたい」、この両方を満たす答えとしては、やはり、柏木先生の答えしかないのではないでしょうか。
日常生活でも、純粋性は、信頼を得るためのとなるための必須条件です。そこで、純粋性を守って、うそをつかないためには、下のコラム「できる男の法則」のように、「今は言えません」という勇気が必要です。

B. 信頼されるのは、約束を守る人
約束を守ること(これも、うそをつかないことにつながる純粋性です)も、信頼を得るための必須条件です。また、約束を守ることを堅持するには、以下のように、「断る勇気」も必要です。
たとえば、カウンセラーは、クライエントに対して、「これから1時間、お話しをしましょう」と言ってカウンセリングを始めた場合、1時間たって、いいところまで進んで、「もうちょっと時間を延ばせればいいのだが」と思った場合でも、そこでやめて、(次の日時を約束した上で)、クライエントを帰します。効率としては少し延長したほうがいいかもしれませんが、約束を守ること(信頼)のほうが大切です。そうすることで、次回には、カウンセラーのことを少し信頼して来てくれるでしょう。また、時間がくれば必ず終わるはずとの安心感から、言いにくいことも話してくれるかもしれません。
また、カウンセラーの心得として、守れなくなる可能性のある約束は絶対にしてはいけません。それよりも、できないことは、「できない」とはっきり伝えるべきです。たとえば、冷たいようですが、「困ったことがあったら、いつでも電話してきてください。自宅でもかまわないですから」、このような約束はしません。もしも、一度でもその約束を守れなかったら、おそらく、自宅にまで電話をしてくるというのは、よほど差し迫ったことなのでしょう。ですから、もしもその時に、適切な対応ができなければ、すべてを失います。
昭和の総理大臣、田中角栄は、“できることはできる”と断言し、その案件は100パーセント実行して、みんなに信頼された。―中略― また、“できないことはできない”とはっきり言い、「善処する」といった「蛇の生殺しのような、曖昧な言い方」を嫌った。本人いわく、「『できない』と断ることは勇気がいること」と述べておられたそうです(ウィキペディアより)。彼は、部下や周辺の人たちや国民からも、信頼を集めたリーダーでした。
(どこかの国の大臣方は、言質をとられることを恐れて、「蛇の生殺しのような、曖昧な文言を用いた約束」しかされないようです。それでは、田中角栄氏のような国民の信頼を得ることはできません。)
☂☂ 例5 ☂☂
あなたの恋人が、4月から勤め始めたのですが、仕事になじめなくて、「特に上司から無理なことを命令されるので、会社に行きたくない」と、夜中に泣き声で、あなたに訴えてきました。
先日もその上司が、「まだあまり経験のない仕事を、今日中に仕上げるようにと押しつけてきた」 そうです。 @‥‥‥‥‥‥‥‥‥‥‥‥。
そこで、「仕方なしに、(ほかの社員が帰った後、一人残って)、10時まで残業してやった」そうです。 A‥‥‥‥‥‥‥‥‥‥‥‥。
「何とか済ませて帰ってきた」 そうですが、「とても疲れて倒れそうだ。」 B‥‥‥‥‥‥‥‥。
「もう、本当に無理なので、今度こそ、会社を辞めてしまいたい。」 C‥‥‥‥‥‥‥‥‥‥。
あなたは、‥‥‥‥‥‥‥‥‥‥‥‥のところで、この恋人に何と言ってあげますか?
@ .
A .
B .
C .
☂☂ 例6 ☂☂
「何をそんなことくらいで」
授業が終わって、先生が教室に戻ってみると、ある女子生徒が泣いていたようです。教師は生徒にわけを尋ねるのですが、なかなか口を開こうとしません。時間がたって他の生徒がいなくなったころに、ようやく誰かに悪口を言われたことがわかりました。
ふだんからいじめられやすいこの子は、くせ毛のことで男子生徒にからかわれたらしくて、泣いていたようです。かわいそうにと強く感じた教師は、悪口を言った生徒に注意をするだけでなく、いじめを受けた生徒の肩を持って、その生徒の悲しみをやわらげてあげたいし、何とか励ましてもやりたくなりました。
こんなとき、教師は、「何をそんなことくらいでくよくよして」 とか、励ます意味で「そんなこと気にしなくていいよ」 と、言ってしまうものです。
この女子生徒に対して、あなたが先生だとしたら、どう答えてあげますか? 「何をそんなことぐらいでくよくよして」 とか、「そんなこと気にしなくていいよ」 は、すでに申してきましたように、指導的/教訓的応答(アドバイス)です。この女子生徒を、「受容」 していません。この生徒のこころに「共感」し、この生徒のこころを「受容」する応答を、是非、お願いします。
答え .
☂☂ 例5の解答 ☂☂
恋人への返答は、なんと言っても、相手の話をよく聴いて、その状況やそのときの気持ちを正しく理解できたことを伝えることです。そのため、相手の話を繰り返して、それに共感的フレーズをつけ加えて述べた上で、相手に自分の意見を押しつけるのではなくて、相手が解決策を探しだすのを待つべきです。
一例をあげます(このとおりである必要はありません)
@ そうだったんですか。まだあまりしたことのない仕事だったら、とっても、大変でしたね。
A 一人残って、10時までも残業したんですか。それは、すごくきつかったですね。
B 済ますことができたのは、良かったですね。しかし、それでは、倒れそうになったのも仕方ないですね。
C 会社を辞めたいほどに思っているのですか。そう思っても無理ないですね。
☂ 考察 傾聴 ☂
この例では、今までとは違って、繰り返し応答していますので、「受容」や「共感」に加えて、「傾聴」(あなたの言うことを、一生懸命聞いていますというメッセージ)が必要です。それを含めたポイントを4つあげておきましょう。
@ 傾 聴(これらはすべて、真面目に、真剣に聞いていることを、わかってもらうためです)
・相づちを打つ:「うん」、「そうですか」、「そうだったんですか」、など
・確認をとる:(聞いたことを繰り返したり、要約を入れて、振り返って確認してもらう):「○○○だったのですか」、「○○○だったと言うことですか」、など。
・短い質問をたまに入れる(聞いた内容に沿った質問):「10時までも、そんなに遅くなったのですか?」、「それは上司の方に一方的に言われたのですか?」、など
A 共感的フレーズ
相手が困っている場合には、共感的フレーズを付け加えること。 「それは大変でしたね」、「それほど遅くまでだったんですか」、「とても頑張ったんですね」、など。

B オウム返しによって、同じことを聞いてもらうことの有用性
一般に、人は自分がしゃべっている時には、そのときの自分の感情や気持ちに邪魔されて、あるいは、正確にしゃべろうということに気をとられて、a.自分の言ったことの本当の意味をあまり理解できていない場合や、b.思いのほか強い言葉になっていた場合があります。さらに、同じ言葉でも(自分でしゃべるのではなくて)人から聞かされると、c.もう少し冷静にその意味をとらえることができる、d.そのときの状況をもう少し客観的にとらえることができる、e.見落としていたことに気づくことができる、などのメリットがありますので、積極的にオウム返しをしましょう。
C 十分に相手の心がわかるまで、判断や助言をしないこと
それから、もう一つのポイントとして、相手の真意がわかるまで、判断をしたり、助言をしないこと。この恋人は、言葉では「会社を辞めたい」と言っていますが、本心は「できることなら、続けたい」と思っていたとしたら、「それなら、会社を辞めてしまったら」などと、口走ってはいけません。そんなことをしたら、嫌われますよ。下手をすると、信頼を失って、取り返しのつかないことにもなりかねません。
☂☂ 例6の解答と考察 共感+受容 ☂☂
この答えは、今まで述べてきたことを参考にして、ご自身で考えてみてください。特に、「共感」と「受容」を駆使して、考えてみてください。たいへん良い答えがあります。きっと、この女子生徒の心の中に長く残って、あなたのことが好きになってしまうような、良い答えがあります。特に、この生徒を本当の意味で勇気づけること(主体的な勇気を持ってもらうこと)ができるような答えがあります。
とは言え、その答えが、非常に難しいのも事実です。私は、ここまで読んでいただいた方であれば、良い答えをしていただけると思っております。もしも、そのように答えていただけないとすれば、私の力不足でしょう。
(正解は、諏訪耕一、馬場賢治、清水慶一編著 「教師の禁句・教師の名句」 黎明書房 1996をご覧ください。なお、その新版2001には、この例は掲載されていないようです。)
☂☂ まとめ ☂☂
ここで申しあげたことは、受容、共感、傾聴、純粋性(うそをつかないこと)につきます。これらは、カール・ロジャースが長年の「来談者中心療法」の経験の中で、たどり着いたカウンセラーに必要とされる基本的態度、心構えです。なお、カウンセリングには種々のやり方、流派がありますが、それを超えて、受容、共感、傾聴、純粋性はどのようなカウンセリングにも必要とされるものです。
これらは、人のこころをつかむ方法でもあるわけですから、人へのこのようなアプローチ方法は、種々の社会的な会議、交渉事にも使えるものであると、ロジャースは晩年の時期に主張していました。また、そのための実践も行っていました。私も皆様に、最後に、一つ殺し文句を申しあげておきましょう。「このようにすれば、きっともてますよ」 と。
引用など:例1、例2,例5は自作です。例3と例4は、<植村研一、「効果的な情意教育の展開」 株式会社じほう 2000.>からの引用です。例6は、すでに述べましたように、<諏訪耕一ほか 1996.>からの引用です。 記して、感謝いたします。
追 記
ここで述べてきたように、カウンセリングの本質は、アドバイスや指導ではありません。「受容」と「共感」です。しかし、困っている人に対して、アドバイスや指導、教訓が必要とされる場合、それらが有用な場合もたくさんあります。相手が比較的元気なときには、それが正解です。例えば、進路について悩んでいる人には、「受容」や「共感」は、あまり意味がありません。経験豊かな人、先輩、たくさんの人を指導してきた人によるアドバイスや指導のほうが有用です。実際、カウンセリングがアメリカで始まった頃には、カウンセラーがアドバイスや指導を行う指示的カウンセリングが中心でした(ちなみに、そのときのカウンセリングは、主に、職業指導、就職の進路選択に関するものでした)。さらに、アドバイスや指導という方法は、(心理学を学ばなくても、誰にでもできる)、非常に汎用ですぐれた方法です。
それに対して、カウンセリングは、(精度の低い用語になってしまいますが)、“精神的に”、困っている人に対して、(例1の「受容」のところで指摘しましたように)、必要なものです。その相手は、身近な人の場合もあるし、職業的なカウンセラーが何度にも渡って行うようなものもあります。しかし、“精神的に”困っている人には、必要であり、役に立ってきました。それは、繰り返し触れましたように、我々が常識的に思っている援助方法(指導やアドバイス)とは、かなり異なっています。貴君も身近な人が“精神的に”困っているときには、ここで述べたようなカウンセリング・マインド(受容、共感、傾聴)を発揮していただくと、その人たちに「主体的な勇気」を持ってもらうために役立つことでしょう。

